Вопрос по физике:
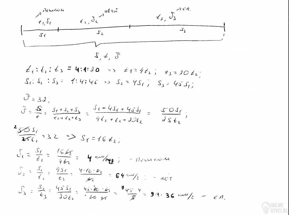
Путь от места отдыха в город туристы преодолели со средней скоростью 32 км / ч частично пешком, частично автобусом и затем электричкой. С какой скоростью пройден каждый из отрезков пути, если их длины относятся как 1 к 4 к 45, а соответствующие им интервалы времени как 4 к 1 к 20?
- 06.09.2018 11:19
- Физика
- remove_red_eye 13141
- thumb_up 26
Ответы и объяснения 1
Знаете ответ? Поделитесь им!
Есть сомнения?
Не нашли подходящего ответа на вопрос или ответ отсутствует? Воспользуйтесь поиском по сайту, чтобы найти все ответы на похожие вопросы в разделе Физика.
Трудности с домашними заданиями? Не стесняйтесь попросить о помощи - смело задавайте вопросы!
Физика — область естествознания: естественная наука о простейших и вместе с тем наиболее общих законах природы, о материи, её структуре и движении.