- 02.07.2017 18:23
- Физика
- remove_red_eye 1347
- thumb_up 39
Ответы и объяснения 2
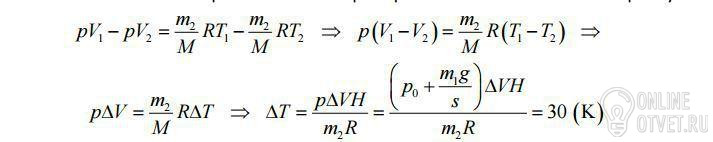
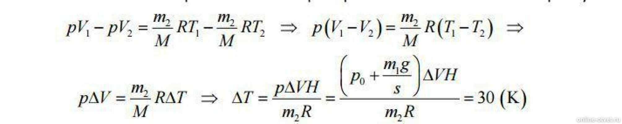
Для начала определим под каким давлением находится аргон, оно равно сумме атмосферного давления и давления поршня. Так как при охлаждения давление не меняется,то можно прировнять работу газа через давление к работе газа через изменение температуры: p delta V=vR delta T; delta T=(po+mg/S)delta V/vR=30 H-это высота, на которую сместился поршень, но ее можно и не использовать
- 03.07.2017 05:18
- thumb_up 43
Получается, уважаемая (ый) совсем запутался, правы не Вы. Все было решено нормально. Ну, за исключением описок.
- 04.07.2017 22:07
- thumb_up 18
Знаете ответ? Поделитесь им!
Есть сомнения?
Не нашли подходящего ответа на вопрос или ответ отсутствует? Воспользуйтесь поиском по сайту, чтобы найти все ответы на похожие вопросы в разделе Физика.
Трудности с домашними заданиями? Не стесняйтесь попросить о помощи - смело задавайте вопросы!
Физика — область естествознания: естественная наука о простейших и вместе с тем наиболее общих законах природы, о материи, её структуре и движении.