Вопрос по физике:
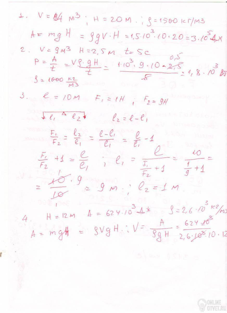
1)Определите работу,совершаемую шагающим экскаватором,если за один приём он поднимает грунт объёмом 14м3 на высоту 20м.Плотность грунта равна 1500кг\м3
2)Насос поднимает воду объемом 9м3 на высоту 2,5м за 5с .Определите его мощность.
3)Длина рычага равна 10м.На концы рычага действуют силы 1Н и 9Н.На каком расстояние от места приложения меньшей силы располагается точка опоры ,если рычаг находится в равновесии
4)При равномерном подъеме гранитной плиты на высоту 12м была совершена работа 624 кДж.Определите объём плиты.Плотность гранита равна 2600кг\м3
5)Определите КПД рычага,с помощью которого груз массой 80кг был поднят равномерно на высоту 90см.При этом длинное плечо рычага ,к которому была приложена сила 500Н ,опустилось на расстояние 1,8м
6)При помощи рычага ,КПД которого 75% ,равномерно поднимает груз массой 150 кг на высоту 50см.Определите ,на какое расстояние опустилось длинно плечо рычага если к нему была приложена сила 500Н
Помогите срочно надо даю 24 балла!!!
- 10.05.2018 13:29
- Физика
- remove_red_eye 9311
- thumb_up 31
Ответы и объяснения 1
Знаете ответ? Поделитесь им!
Есть сомнения?
Не нашли подходящего ответа на вопрос или ответ отсутствует? Воспользуйтесь поиском по сайту, чтобы найти все ответы на похожие вопросы в разделе Физика.
Трудности с домашними заданиями? Не стесняйтесь попросить о помощи - смело задавайте вопросы!
Физика — область естествознания: естественная наука о простейших и вместе с тем наиболее общих законах природы, о материи, её структуре и движении.