Вопрос по физике:
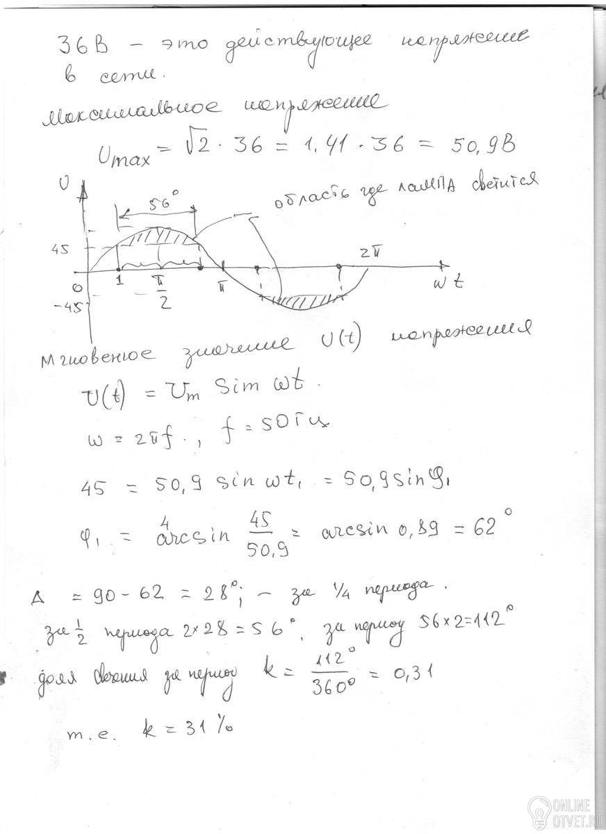
Неоновая лампа,включенная в сеть переменного напряжения 36 В зажигается и гаснет при напряжении 45 В. В течении какой доли периода лампа горит?
- 09.04.2017 14:59
- Физика
- remove_red_eye 14430
- thumb_up 32
Ответы и объяснения 1
Знаете ответ? Поделитесь им!
Есть сомнения?
Не нашли подходящего ответа на вопрос или ответ отсутствует? Воспользуйтесь поиском по сайту, чтобы найти все ответы на похожие вопросы в разделе Физика.
Трудности с домашними заданиями? Не стесняйтесь попросить о помощи - смело задавайте вопросы!
Физика — область естествознания: естественная наука о простейших и вместе с тем наиболее общих законах природы, о материи, её структуре и движении.