Вопрос по физике:
10 клас Помогите пожалуйста/ допоможіть)
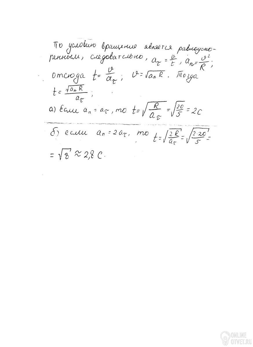
Точка рухається по колу радіусом 20 см з постійним тангенціальним прискоренням 5 см/с^2. За який час від початку руху нормальне прискорення точки буде:1) дорівнювати тангенсіаьному; 2) вдвоє більше за тангенсіальне.
Точка движется по окружности радиусом 20 см с постоянным тангенциальным ускорением 5 см/с^2. За какое время от начала движения нормальное ускорение точки будет:1) равно тангенциальному; 2) вдвое больше тангенциальное.
- 14.09.2018 05:59
- Физика
- remove_red_eye 12723
- thumb_up 25
Ответы и объяснения 1
Знаете ответ? Поделитесь им!
Есть сомнения?
Не нашли подходящего ответа на вопрос или ответ отсутствует? Воспользуйтесь поиском по сайту, чтобы найти все ответы на похожие вопросы в разделе Физика.
Трудности с домашними заданиями? Не стесняйтесь попросить о помощи - смело задавайте вопросы!
Физика — область естествознания: естественная наука о простейших и вместе с тем наиболее общих законах природы, о материи, её структуре и движении.