Вопрос по физике:
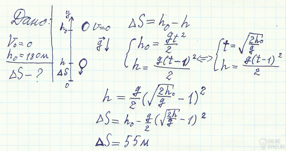
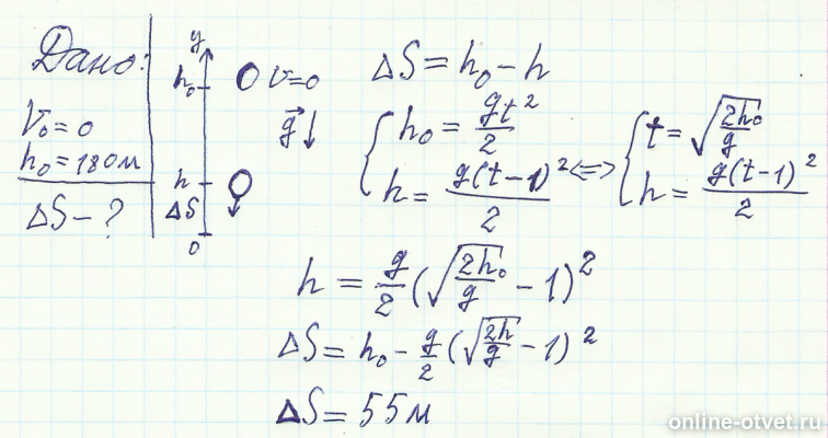
Если тело свободно падает с высоты 180 м, то путь, пройденный телом за последнюю секунду равен
- 02.05.2017 00:32
- Физика
- remove_red_eye 700
- thumb_up 17
Ответы и объяснения 1
Знаете ответ? Поделитесь им!
Есть сомнения?
Не нашли подходящего ответа на вопрос или ответ отсутствует? Воспользуйтесь поиском по сайту, чтобы найти все ответы на похожие вопросы в разделе Физика.
Трудности с домашними заданиями? Не стесняйтесь попросить о помощи - смело задавайте вопросы!
Физика — область естествознания: естественная наука о простейших и вместе с тем наиболее общих законах природы, о материи, её структуре и движении.