Вопрос по физике:
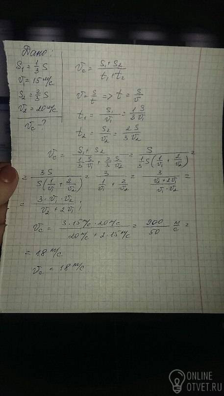
Автомобиль первую треть пути проехал со средней скоростью 15 м/с. А оставшуюся часть пути он преодолел со скоростью 20 м/с. Какова средняя скорость автомобиля (м/с) на всем участке пути?
- 14.09.2017 08:34
- Физика
- remove_red_eye 14086
- thumb_up 11
Ответы и объяснения 1
Знаете ответ? Поделитесь им!
Есть сомнения?
Не нашли подходящего ответа на вопрос или ответ отсутствует? Воспользуйтесь поиском по сайту, чтобы найти все ответы на похожие вопросы в разделе Физика.
Трудности с домашними заданиями? Не стесняйтесь попросить о помощи - смело задавайте вопросы!
Физика — область естествознания: естественная наука о простейших и вместе с тем наиболее общих законах природы, о материи, её структуре и движении.