Вопрос по физике:
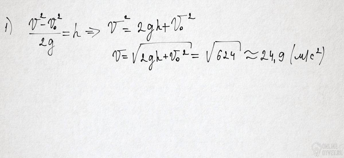
С крыши дома высотой 28 м падает шарик с начальной скоростью 8м/с. определите его скорость в момент удара о землю. Постройте график зависимости проекции скорости шарика на ось Y от времени
- 16.03.2017 02:09
- Физика
- remove_red_eye 18133
- thumb_up 34
Ответы и объяснения 1
Знаете ответ? Поделитесь им!
Есть сомнения?
Не нашли подходящего ответа на вопрос или ответ отсутствует? Воспользуйтесь поиском по сайту, чтобы найти все ответы на похожие вопросы в разделе Физика.
Трудности с домашними заданиями? Не стесняйтесь попросить о помощи - смело задавайте вопросы!
Физика — область естествознания: естественная наука о простейших и вместе с тем наиболее общих законах природы, о материи, её структуре и движении.