Вопрос по физике:
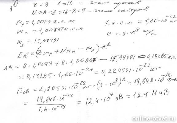
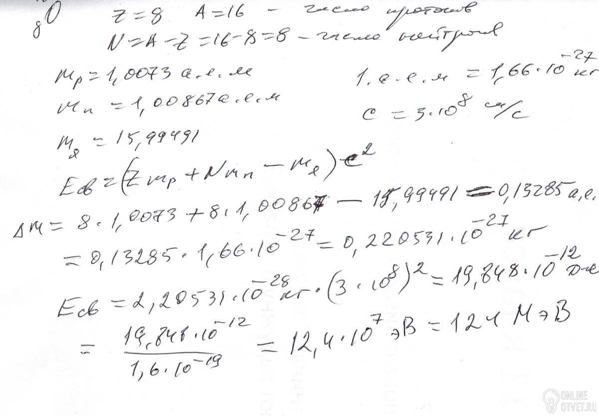
Рассчитайте энергию связи ядра изотопа кислорода масса протона 1,0073 масса изотопа кислорода 15,99491
- 13.04.2018 16:17
- Физика
- remove_red_eye 10763
- thumb_up 25
Ответы и объяснения 1
Знаете ответ? Поделитесь им!
Есть сомнения?
Не нашли подходящего ответа на вопрос или ответ отсутствует? Воспользуйтесь поиском по сайту, чтобы найти все ответы на похожие вопросы в разделе Физика.
Трудности с домашними заданиями? Не стесняйтесь попросить о помощи - смело задавайте вопросы!
Физика — область естествознания: естественная наука о простейших и вместе с тем наиболее общих законах природы, о материи, её структуре и движении.