Вопрос по физике:
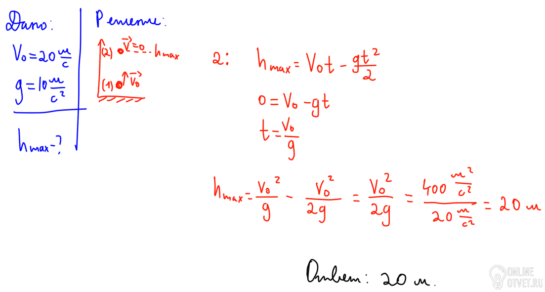
Стрела выпущена из лука вертикально вверх со скоростью 20 м/с.Рассчитайте максимальную высоту подъема стрелы.
- 09.12.2016 09:01
- Физика
- remove_red_eye 8568
- thumb_up 35
Ответы и объяснения 1
Знаете ответ? Поделитесь им!
Есть сомнения?
Не нашли подходящего ответа на вопрос или ответ отсутствует? Воспользуйтесь поиском по сайту, чтобы найти все ответы на похожие вопросы в разделе Физика.
Трудности с домашними заданиями? Не стесняйтесь попросить о помощи - смело задавайте вопросы!
Физика — область естествознания: естественная наука о простейших и вместе с тем наиболее общих законах природы, о материи, её структуре и движении.