Вопрос по физике:
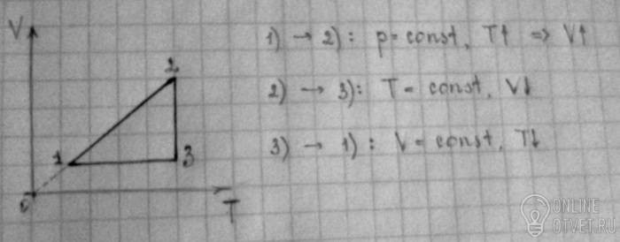
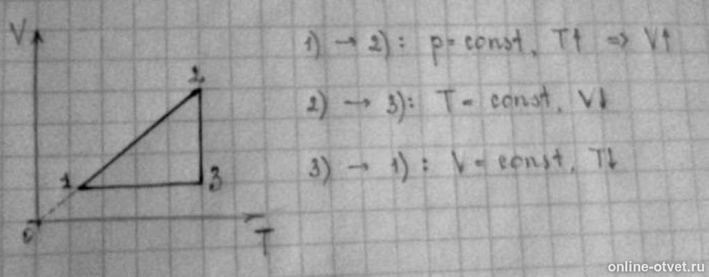
Определенная масса идеального газа испытывает сначала изобарное повышение температуры, а затем после изотермического сжатия и изохорного охлаждения возвращается в исходное состояние. Изобразить эти процессы в координатах (V,T).
- 13.10.2017 16:43
- Физика
- remove_red_eye 8828
- thumb_up 32
Ответы и объяснения 1
Знаете ответ? Поделитесь им!
Есть сомнения?
Не нашли подходящего ответа на вопрос или ответ отсутствует? Воспользуйтесь поиском по сайту, чтобы найти все ответы на похожие вопросы в разделе Физика.
Трудности с домашними заданиями? Не стесняйтесь попросить о помощи - смело задавайте вопросы!
Физика — область естествознания: естественная наука о простейших и вместе с тем наиболее общих законах природы, о материи, её структуре и движении.