Вопрос по физике:
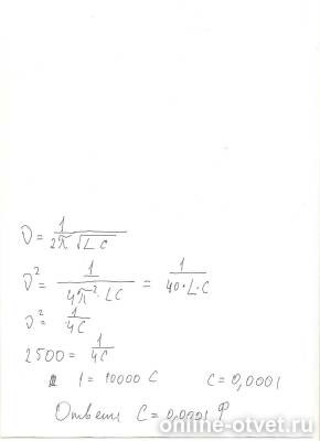
чему равна емкость конденсатора в колебательном контуре если индуктивность катушки 0.1 гн а резонансная частота 50 гц
- 20.04.2017 00:21
- Физика
- remove_red_eye 9643
- thumb_up 43
Ответы и объяснения 1
Знаете ответ? Поделитесь им!
Есть сомнения?
Не нашли подходящего ответа на вопрос или ответ отсутствует? Воспользуйтесь поиском по сайту, чтобы найти все ответы на похожие вопросы в разделе Физика.
Трудности с домашними заданиями? Не стесняйтесь попросить о помощи - смело задавайте вопросы!
Физика — область естествознания: естественная наука о простейших и вместе с тем наиболее общих законах природы, о материи, её структуре и движении.