Вопрос по физике:
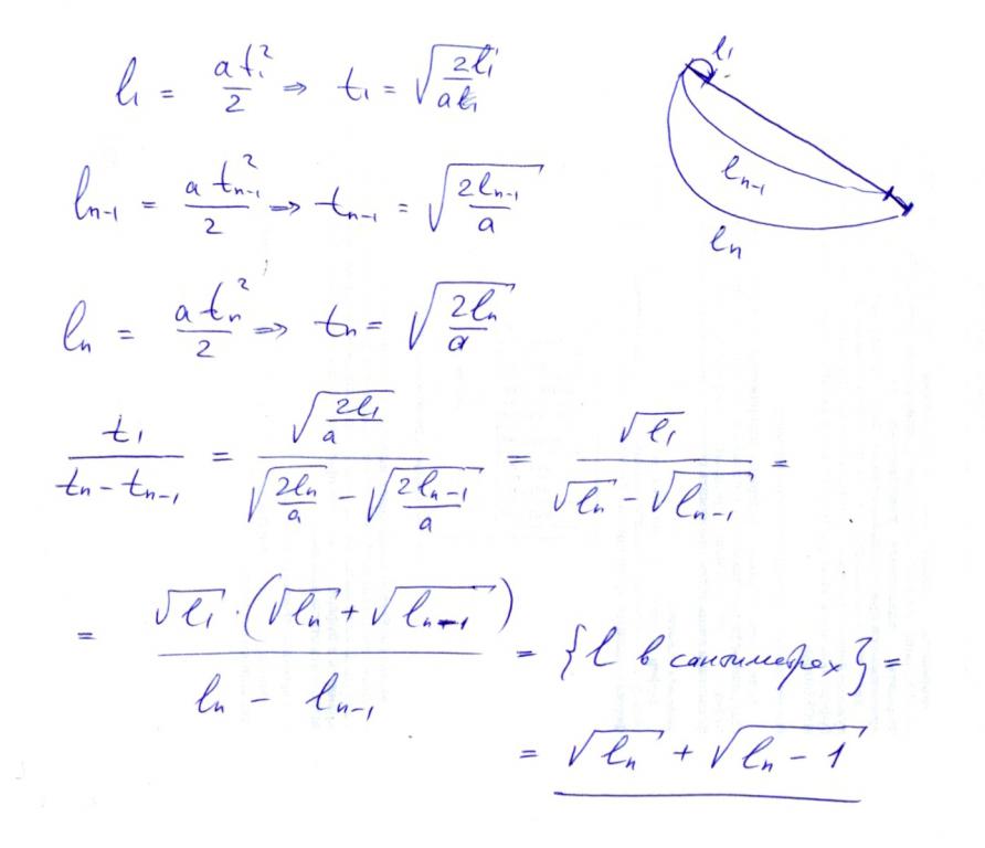
Во сколько раз отличаются промежутки времени движения шарика на первом и последнем сантиметре пути?
- 20.11.2016 17:31
- Физика
- remove_red_eye 9656
- thumb_up 27
Ответы и объяснения 3
Знаете ответ? Поделитесь им!
Есть сомнения?
Не нашли подходящего ответа на вопрос или ответ отсутствует? Воспользуйтесь поиском по сайту, чтобы найти все ответы на похожие вопросы в разделе Физика.
Трудности с домашними заданиями? Не стесняйтесь попросить о помощи - смело задавайте вопросы!
Физика — область естествознания: естественная наука о простейших и вместе с тем наиболее общих законах природы, о материи, её структуре и движении.

