Пожаловаться
- 19.01.2018 00:35
- Алгебра
- remove_red_eye 17365
- thumb_up 45
Ответы и объяснения 1
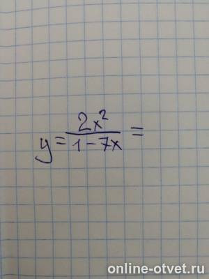
Y'=((2x^2)' *(1-7x)-2x^2*(1-7x)')/(1-7x)^2=(4x(1-7x)-2x^2*(-7))/(1-7x)^2=(4x-28x+14x^2)/(1-7x)^2=(14x^2-24x)/(1-7x)^2
Пожаловаться
- 20.01.2018 16:42
- thumb_up 15
Знаете ответ? Поделитесь им!
Есть сомнения?
Не нашли подходящего ответа на вопрос или ответ отсутствует? Воспользуйтесь поиском по сайту, чтобы найти все ответы на похожие вопросы в разделе Алгебра.
Трудности с домашними заданиями? Не стесняйтесь попросить о помощи - смело задавайте вопросы!
Алгебра — раздел математики, который можно нестрого охарактеризовать как обобщение и расширение арифметики.
Новые вопросы
Интересные вопросы