Вопрос по алгебре:
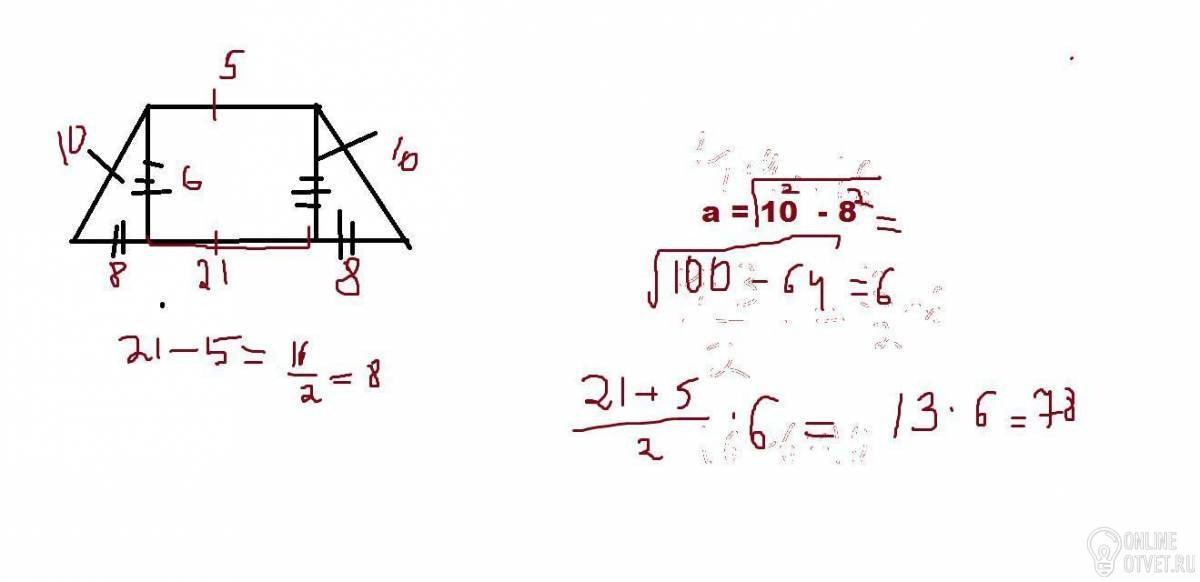
Длина боковых сторон равнобедренной трапеции 10 см найти площадь если известно что основание трапеции 5 и 21 см
- 05.01.2018 00:19
- Алгебра
- remove_red_eye 4414
- thumb_up 10
Ответы и объяснения 1
Знаете ответ? Поделитесь им!
Есть сомнения?
Не нашли подходящего ответа на вопрос или ответ отсутствует? Воспользуйтесь поиском по сайту, чтобы найти все ответы на похожие вопросы в разделе Алгебра.
Трудности с домашними заданиями? Не стесняйтесь попросить о помощи - смело задавайте вопросы!
Алгебра — раздел математики, который можно нестрого охарактеризовать как обобщение и расширение арифметики.