Пожаловаться
- 13.08.2018 05:06
- Алгебра
- remove_red_eye 6748
- thumb_up 44
Ответы и объяснения 1
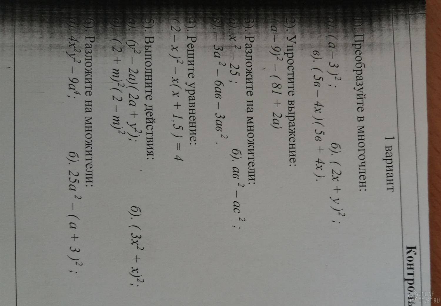
(а-3)²= а²-6а+9
(2х+у)²= 4х²+4ху+у²
(5в-4х)(5в+4х)=(5в)²-(4х)²=25в²-16х²
(у²-2а)(у²+2а)=у₄-4а²
(2х+у)²= 4х²+4ху+у²
(5в-4х)(5в+4х)=(5в)²-(4х)²=25в²-16х²
(у²-2а)(у²+2а)=у₄-4а²
Пожаловаться
- 14.08.2018 09:24
- thumb_up 35
Знаете ответ? Поделитесь им!
Есть сомнения?
Не нашли подходящего ответа на вопрос или ответ отсутствует? Воспользуйтесь поиском по сайту, чтобы найти все ответы на похожие вопросы в разделе Алгебра.
Трудности с домашними заданиями? Не стесняйтесь попросить о помощи - смело задавайте вопросы!
Алгебра — раздел математики, который можно нестрого охарактеризовать как обобщение и расширение арифметики.
Новые вопросы
Интересные вопросы