Пожаловаться
- 09.04.2018 03:15
- Алгебра
- remove_red_eye 5921
- thumb_up 12
Ответы и объяснения 1
1
f(x)=-8x²
f(0)=-8*0=0
2
y=kx² a(8;448)
k=y/x²=448/64=7
3
y=-4x
y(-4)=-4*(-4)=16
4
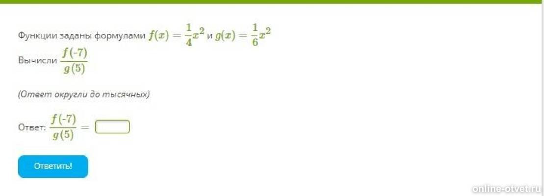
f(x)=1/4x²,g(x)=1/6x2
f(-7)/g(5)=49/4:25/6=49/4*6/25=294/100=2,94
5
f(x)=-3x²
f(3x²)=-3(3x²)²=-3*9x^4=-27x^4
f(x)=-8x²
f(0)=-8*0=0
2
y=kx² a(8;448)
k=y/x²=448/64=7
3
y=-4x
y(-4)=-4*(-4)=16
4
f(x)=1/4x²,g(x)=1/6x2
f(-7)/g(5)=49/4:25/6=49/4*6/25=294/100=2,94
5
f(x)=-3x²
f(3x²)=-3(3x²)²=-3*9x^4=-27x^4
Пожаловаться
- 01.01.1970 00:00
- thumb_up 28
Знаете ответ? Поделитесь им!
Есть сомнения?
Не нашли подходящего ответа на вопрос или ответ отсутствует? Воспользуйтесь поиском по сайту, чтобы найти все ответы на похожие вопросы в разделе Алгебра.
Трудности с домашними заданиями? Не стесняйтесь попросить о помощи - смело задавайте вопросы!
Алгебра — раздел математики, который можно нестрого охарактеризовать как обобщение и расширение арифметики.
Новые вопросы
Интересные вопросы