Вопрос по алгебре:
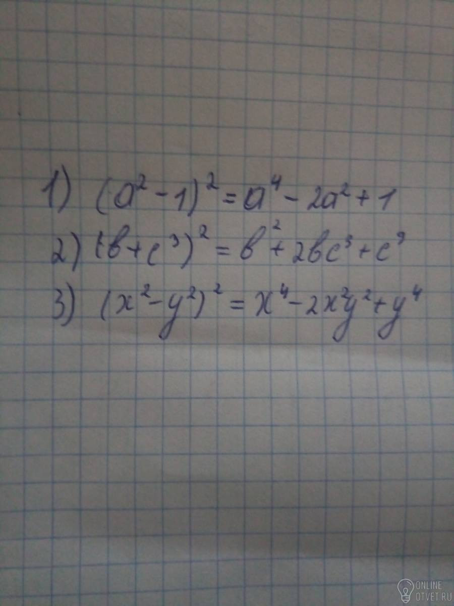
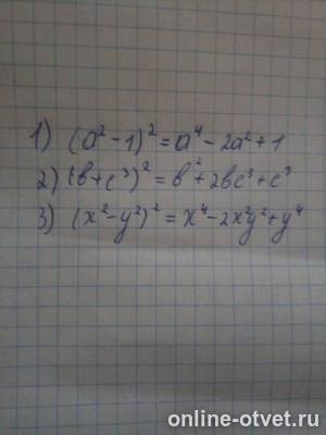
Выполнить преобразование по соответствующей формуле:(a+b)²=a²+2ab+b²
1. (a²-1)²
2. (b+c³)²
3. (x²-y²)²
- 14.01.2018 06:40
- Алгебра
- remove_red_eye 10266
- thumb_up 42
Ответы и объяснения 1
Знаете ответ? Поделитесь им!
Есть сомнения?
Не нашли подходящего ответа на вопрос или ответ отсутствует? Воспользуйтесь поиском по сайту, чтобы найти все ответы на похожие вопросы в разделе Алгебра.
Трудности с домашними заданиями? Не стесняйтесь попросить о помощи - смело задавайте вопросы!
Алгебра — раздел математики, который можно нестрого охарактеризовать как обобщение и расширение арифметики.