Вопрос по алгебре:
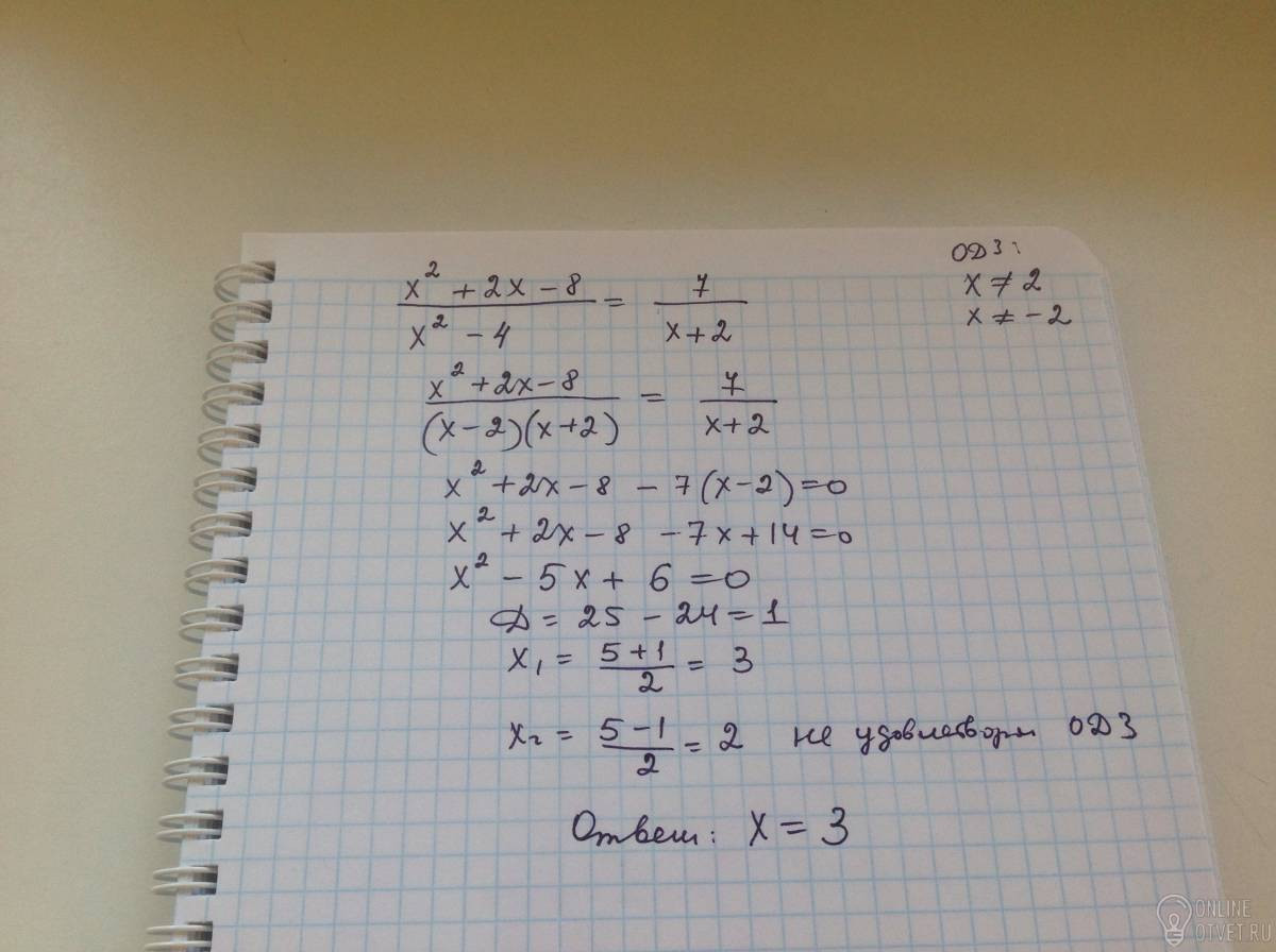
Х в квадрате плюс два икс минус восемь дробь икс в квадрате минус четыре равно семь дробь икс плюс 2
Помогите решить уравнение.
- 22.08.2018 00:35
- Алгебра
- remove_red_eye 8433
- thumb_up 15
Ответы и объяснения 1
Знаете ответ? Поделитесь им!
Есть сомнения?
Не нашли подходящего ответа на вопрос или ответ отсутствует? Воспользуйтесь поиском по сайту, чтобы найти все ответы на похожие вопросы в разделе Алгебра.
Трудности с домашними заданиями? Не стесняйтесь попросить о помощи - смело задавайте вопросы!
Алгебра — раздел математики, который можно нестрого охарактеризовать как обобщение и расширение арифметики.