Пожаловаться
- 11.05.2018 02:15
- Алгебра
- remove_red_eye 14413
- thumb_up 38
Ответы и объяснения 1
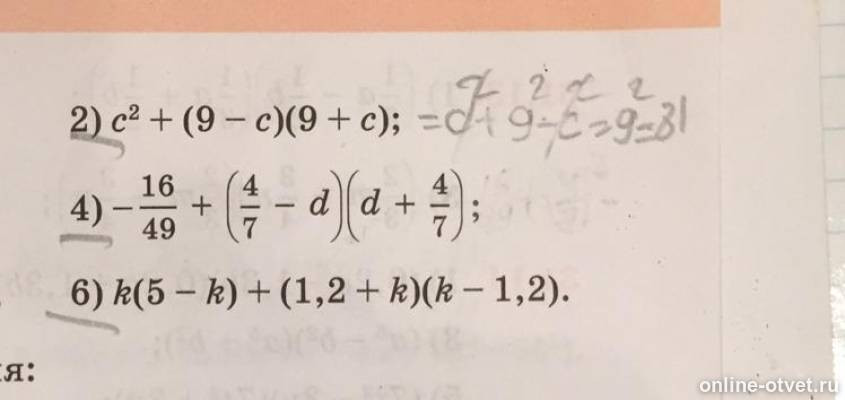
2)с2+81+9c-9c-c2=81
4)-16/49+4/7d+28/49-d2-4/7d=-16/49+28/49-d2=d2+12/49
6)5k-k2+1.2k-1.44+k2-1.2k=5k-1.44
4)-16/49+4/7d+28/49-d2-4/7d=-16/49+28/49-d2=d2+12/49
6)5k-k2+1.2k-1.44+k2-1.2k=5k-1.44
Пожаловаться
- 12.05.2018 23:02
- thumb_up 8
Знаете ответ? Поделитесь им!
Есть сомнения?
Не нашли подходящего ответа на вопрос или ответ отсутствует? Воспользуйтесь поиском по сайту, чтобы найти все ответы на похожие вопросы в разделе Алгебра.
Трудности с домашними заданиями? Не стесняйтесь попросить о помощи - смело задавайте вопросы!
Алгебра — раздел математики, который можно нестрого охарактеризовать как обобщение и расширение арифметики.
Новые вопросы
Интересные вопросы