Вопрос по алгебре:
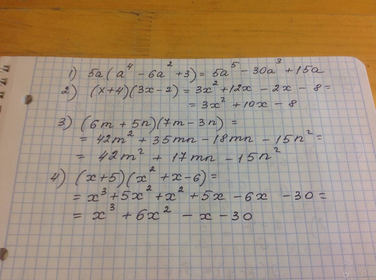
Представьте в виде многочлена выражение;
1)5а(а в степени 4-6а в степени 2+3)
2)(х+4)*(3х-2)
3)(6м+5n)*(7m-3n)
4)(x+5)*(x в квадрате +х-6)
- 21.02.2018 19:18
- Алгебра
- remove_red_eye 14072
- thumb_up 25
Ответы и объяснения 1
Знаете ответ? Поделитесь им!
Есть сомнения?
Не нашли подходящего ответа на вопрос или ответ отсутствует? Воспользуйтесь поиском по сайту, чтобы найти все ответы на похожие вопросы в разделе Алгебра.
Трудности с домашними заданиями? Не стесняйтесь попросить о помощи - смело задавайте вопросы!
Алгебра — раздел математики, который можно нестрого охарактеризовать как обобщение и расширение арифметики.