Вопрос по алгебре:
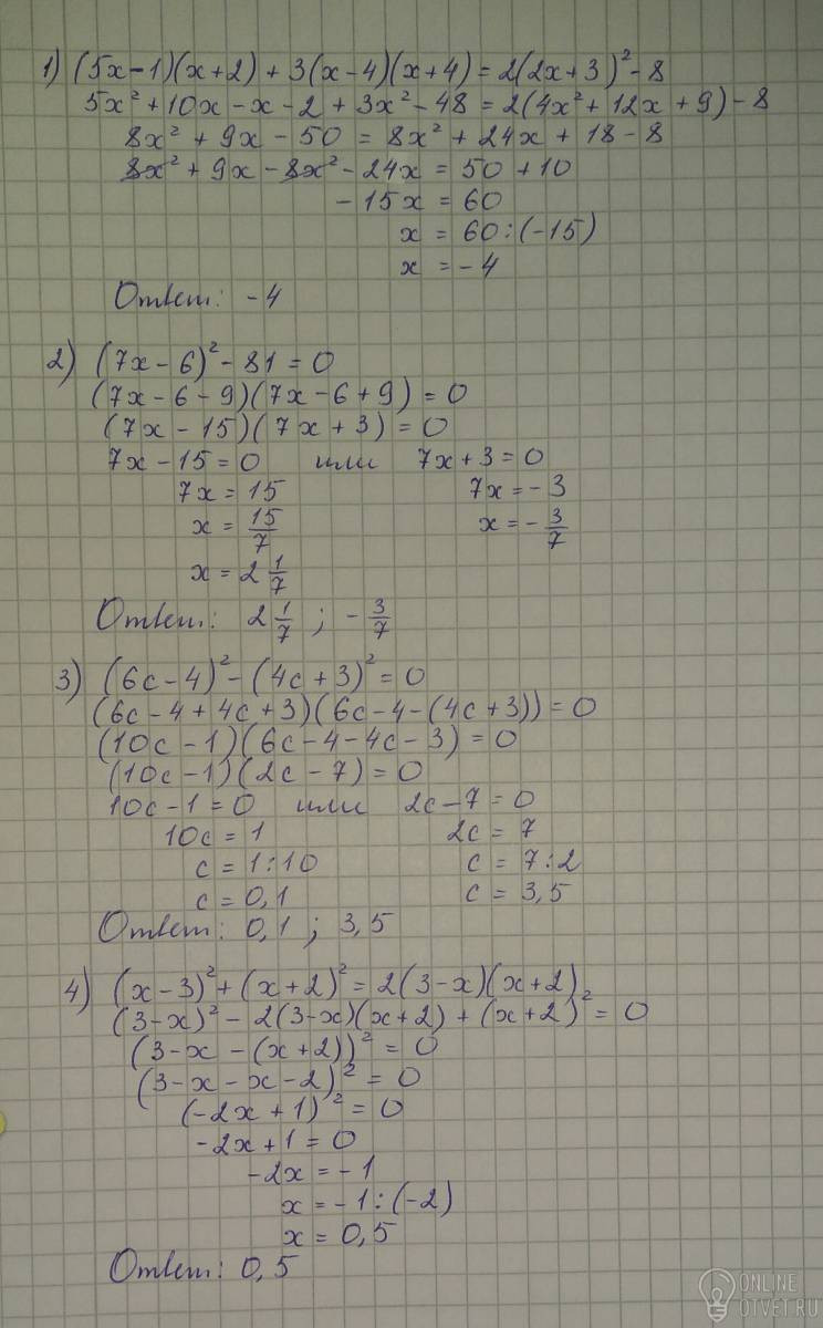
3.Решите уравнение: 1) (5x-1)(x+2)+3(x-4)(x+4)=2(2x+3)²-8; 2) (7x-6)²-81=0; 3) (6c-4)²-(4c+3)²=0; 4) (x-3)²+(x+2)²=2(3-x)(x+2);
- 27.01.2018 03:36
- Алгебра
- remove_red_eye 1152
- thumb_up 49
Ответы и объяснения 1
Знаете ответ? Поделитесь им!
Есть сомнения?
Не нашли подходящего ответа на вопрос или ответ отсутствует? Воспользуйтесь поиском по сайту, чтобы найти все ответы на похожие вопросы в разделе Алгебра.
Трудности с домашними заданиями? Не стесняйтесь попросить о помощи - смело задавайте вопросы!
Алгебра — раздел математики, который можно нестрого охарактеризовать как обобщение и расширение арифметики.