- 20.08.2018 00:49
- Алгебра
- remove_red_eye 7068
- thumb_up 10
Ответы и объяснения 1
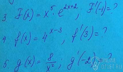
3) f'(x)=5x^4*e^(2x+2)+x^5*2*e^(2x+2)=5x^4*e^(2x+2)+2*x^5*e^(2x+2)=
=x^4*e^(2x+2)*(5+2x)
f'(-1)=1*1*3=3
4)f'(x)=4^(x-3)*ln4
f'(3)=1*ln4=ln4
5) g'(x)=(8x^-2)'=8*(-2)*x^-3=-16/x^3
g'(-2)=-16/(-8)=2
- 21.08.2018 23:15
- thumb_up 4
Знаете ответ? Поделитесь им!
Есть сомнения?
Не нашли подходящего ответа на вопрос или ответ отсутствует? Воспользуйтесь поиском по сайту, чтобы найти все ответы на похожие вопросы в разделе Алгебра.
Трудности с домашними заданиями? Не стесняйтесь попросить о помощи - смело задавайте вопросы!
Алгебра — раздел математики, который можно нестрого охарактеризовать как обобщение и расширение арифметики.