Вопрос по алгебре:
Решите систему уравнений с двумя переменными
Срочно!!!!пожалуйста
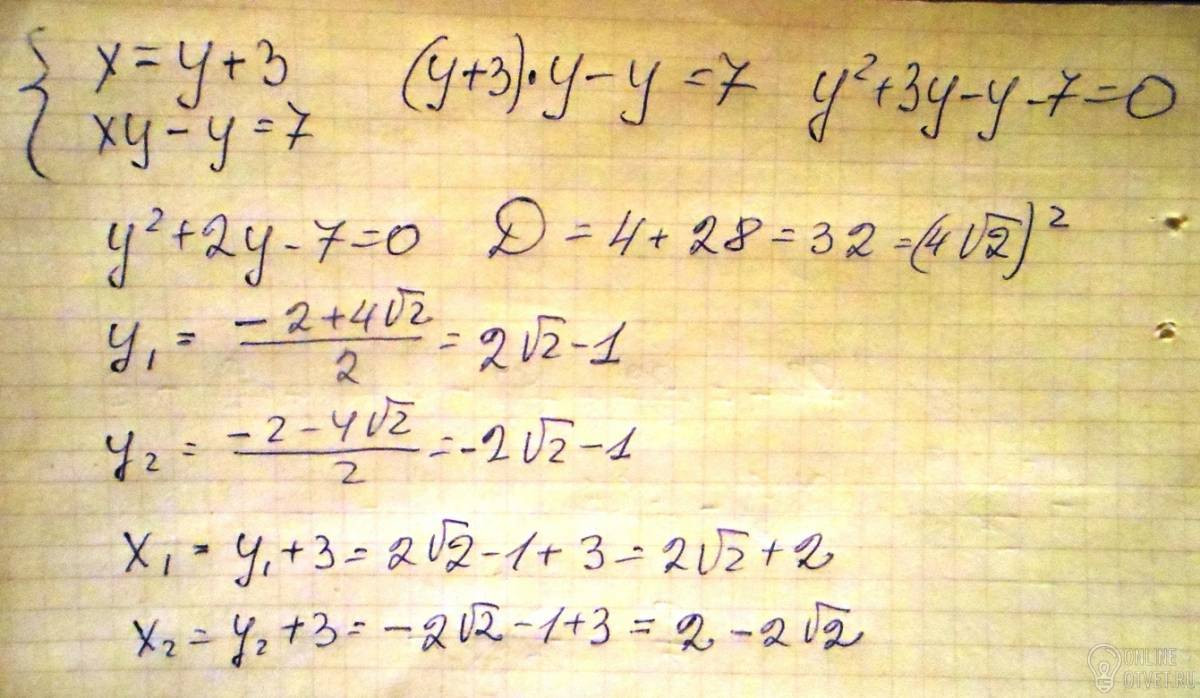
х=у+3 ху-у=7
Пожаловаться
- 12.01.2018 00:23
- Алгебра
- remove_red_eye 5716
- thumb_up 21
Ответы и объяснения 1
Знаете ответ? Поделитесь им!
Есть сомнения?
Не нашли подходящего ответа на вопрос или ответ отсутствует? Воспользуйтесь поиском по сайту, чтобы найти все ответы на похожие вопросы в разделе Алгебра.
Трудности с домашними заданиями? Не стесняйтесь попросить о помощи - смело задавайте вопросы!
Алгебра — раздел математики, который можно нестрого охарактеризовать как обобщение и расширение арифметики.
Новые вопросы
Интересные вопросы