Пожаловаться
- 25.02.2018 19:21
- Алгебра
- remove_red_eye 3538
- thumb_up 31
Ответы и объяснения 1
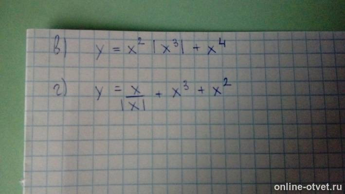
Функция чётная если выполняется - 
Функция нечётная если выполняется -

Т.е. первая функция чётна и вторая не чётная и не нечётная.
Функция нечётная если выполняется -
Т.е. первая функция чётна и вторая не чётная и не нечётная.
Пожаловаться
- 26.02.2018 20:08
- thumb_up 18
Знаете ответ? Поделитесь им!
Есть сомнения?
Не нашли подходящего ответа на вопрос или ответ отсутствует? Воспользуйтесь поиском по сайту, чтобы найти все ответы на похожие вопросы в разделе Алгебра.
Трудности с домашними заданиями? Не стесняйтесь попросить о помощи - смело задавайте вопросы!
Алгебра — раздел математики, который можно нестрого охарактеризовать как обобщение и расширение арифметики.
Новые вопросы
Интересные вопросы