Вопрос по алгебре:
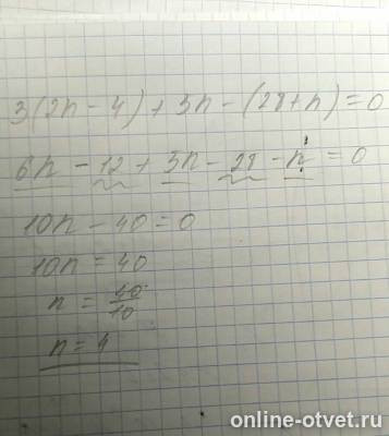
При каком значении n, выражение ровно нулю?
Выражение: 3(2n-4)+5n-(28+n)=0
Пожаловаться
- 02.07.2018 18:21
- Алгебра
- remove_red_eye 10756
- thumb_up 12
Ответы и объяснения 1
Знаете ответ? Поделитесь им!
Есть сомнения?
Не нашли подходящего ответа на вопрос или ответ отсутствует? Воспользуйтесь поиском по сайту, чтобы найти все ответы на похожие вопросы в разделе Алгебра.
Трудности с домашними заданиями? Не стесняйтесь попросить о помощи - смело задавайте вопросы!
Алгебра — раздел математики, который можно нестрого охарактеризовать как обобщение и расширение арифметики.
Новые вопросы
Интересные вопросы