Вопрос по алгебре:
Решите плиииииз, очень надо, дам 20 баллов.
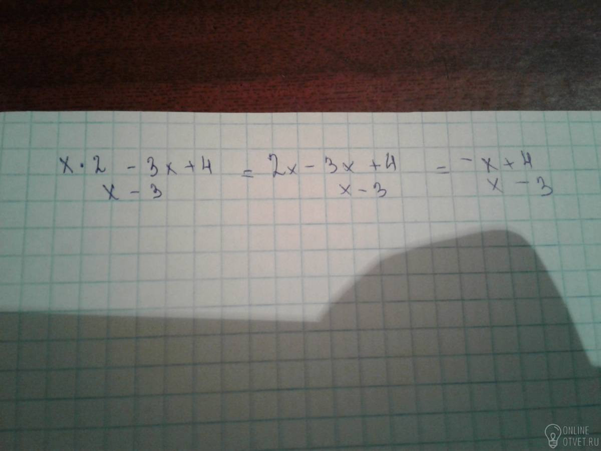
х^2 - 3 х + 4 дробная черта х- 3 =
Пожаловаться
- 13.02.2018 01:13
- Алгебра
- remove_red_eye 14511
- thumb_up 45
Ответы и объяснения 1
Знаете ответ? Поделитесь им!
Есть сомнения?
Не нашли подходящего ответа на вопрос или ответ отсутствует? Воспользуйтесь поиском по сайту, чтобы найти все ответы на похожие вопросы в разделе Алгебра.
Трудности с домашними заданиями? Не стесняйтесь попросить о помощи - смело задавайте вопросы!
Алгебра — раздел математики, который можно нестрого охарактеризовать как обобщение и расширение арифметики.
Новые вопросы
Интересные вопросы