Вопрос по алгебре:
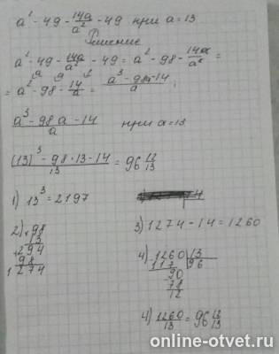
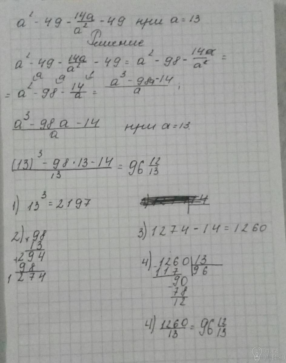
3. Сократите дробь а (в квадрате) + 49 - 14 а / а (в квадрате) - 49 и найдите ее значение при а = 13.
- 22.07.2018 21:06
- Алгебра
- remove_red_eye 5200
- thumb_up 32
Ответы и объяснения 1
Знаете ответ? Поделитесь им!
Есть сомнения?
Не нашли подходящего ответа на вопрос или ответ отсутствует? Воспользуйтесь поиском по сайту, чтобы найти все ответы на похожие вопросы в разделе Алгебра.
Трудности с домашними заданиями? Не стесняйтесь попросить о помощи - смело задавайте вопросы!
Алгебра — раздел математики, который можно нестрого охарактеризовать как обобщение и расширение арифметики.