Вопрос по алгебре:
СРОЧНО!!!!!!!!!
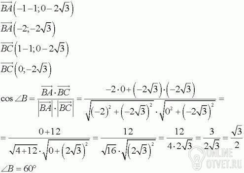
Найти угол В треугольнике с вершинами А(-1;0),В(1;2√3),С(1;0)
Пожаловаться
- 22.01.2018 10:58
- Алгебра
- remove_red_eye 4494
- thumb_up 42
Ответы и объяснения 1
Знаете ответ? Поделитесь им!
Есть сомнения?
Не нашли подходящего ответа на вопрос или ответ отсутствует? Воспользуйтесь поиском по сайту, чтобы найти все ответы на похожие вопросы в разделе Алгебра.
Трудности с домашними заданиями? Не стесняйтесь попросить о помощи - смело задавайте вопросы!
Алгебра — раздел математики, который можно нестрого охарактеризовать как обобщение и расширение арифметики.
Новые вопросы
Интересные вопросы