Пожаловаться
- 26.04.2018 02:30
- Алгебра
- remove_red_eye 13238
- thumb_up 7
Ответы и объяснения 1
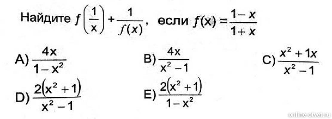
F(1/x) = (1 - 1/x)/(1 + 1/x) = (x-1)/x+1)
1/f(x) = (1 +x)/(1 - x)
(x-1)/x+1) + (1 +x)/(1 - x) = (x -1 -x² +x +x² +2x +1)/(1 - x² ) = 4x/(1 - x²)
1/f(x) = (1 +x)/(1 - x)
(x-1)/x+1) + (1 +x)/(1 - x) = (x -1 -x² +x +x² +2x +1)/(1 - x² ) = 4x/(1 - x²)
Пожаловаться
- 27.04.2018 04:41
- thumb_up 1
Знаете ответ? Поделитесь им!
Есть сомнения?
Не нашли подходящего ответа на вопрос или ответ отсутствует? Воспользуйтесь поиском по сайту, чтобы найти все ответы на похожие вопросы в разделе Алгебра.
Трудности с домашними заданиями? Не стесняйтесь попросить о помощи - смело задавайте вопросы!
Алгебра — раздел математики, который можно нестрого охарактеризовать как обобщение и расширение арифметики.
Новые вопросы
Интересные вопросы