Пожаловаться
- 13.05.2018 11:13
- Алгебра
- remove_red_eye 14987
- thumb_up 36
Ответы и объяснения 1
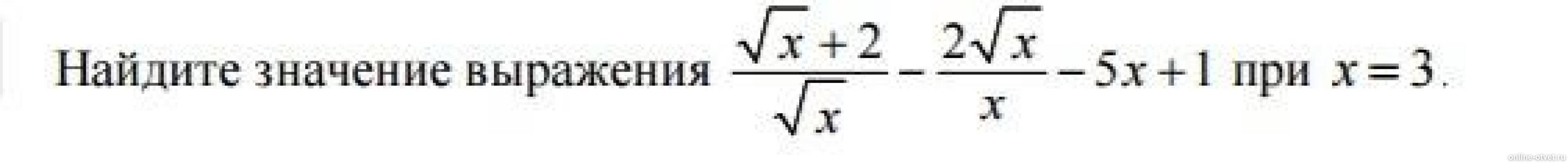
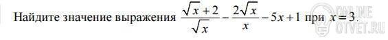
√х+2 2√х х*√х+2х-2х
----------- - ---------- - 5х+1 = ------------------ -5х+1= 1-5х+1=2-5х
√х х х*√х
при х=3 2-5*3=2-15=-13
----------- - ---------- - 5х+1 = ------------------ -5х+1= 1-5х+1=2-5х
√х х х*√х
при х=3 2-5*3=2-15=-13
Пожаловаться
- 14.05.2018 06:12
- thumb_up 48
Знаете ответ? Поделитесь им!
Есть сомнения?
Не нашли подходящего ответа на вопрос или ответ отсутствует? Воспользуйтесь поиском по сайту, чтобы найти все ответы на похожие вопросы в разделе Алгебра.
Трудности с домашними заданиями? Не стесняйтесь попросить о помощи - смело задавайте вопросы!
Алгебра — раздел математики, который можно нестрого охарактеризовать как обобщение и расширение арифметики.
Новые вопросы
Интересные вопросы