Вопрос по алгебре:
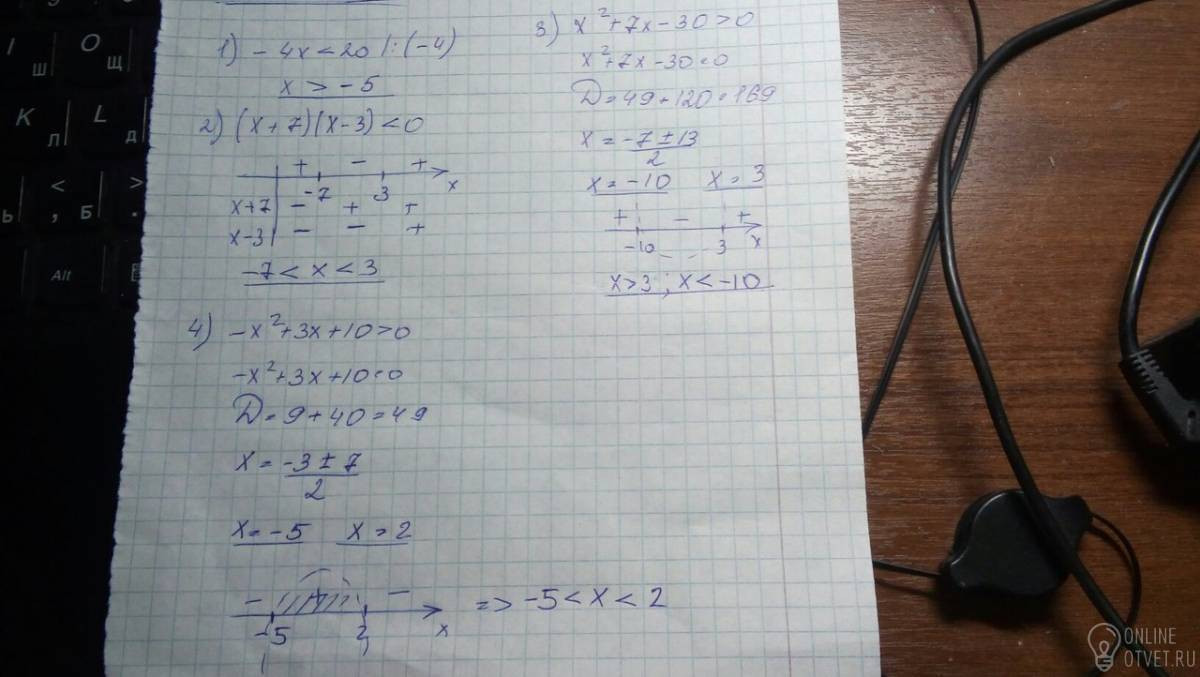
1)-4х<20
2)(х+7)(х-3)<0
3)x(в квадрате)+7х-30>0
4)-x(в квадрате)+3х+10>0
Пожаловаться
- 09.07.2018 05:41
- Алгебра
- remove_red_eye 4713
- thumb_up 19
Ответы и объяснения 1
Знаете ответ? Поделитесь им!
Есть сомнения?
Не нашли подходящего ответа на вопрос или ответ отсутствует? Воспользуйтесь поиском по сайту, чтобы найти все ответы на похожие вопросы в разделе Алгебра.
Трудности с домашними заданиями? Не стесняйтесь попросить о помощи - смело задавайте вопросы!
Алгебра — раздел математики, который можно нестрого охарактеризовать как обобщение и расширение арифметики.
Новые вопросы
Интересные вопросы