Вопрос по алгебре:
Разложить на множители:
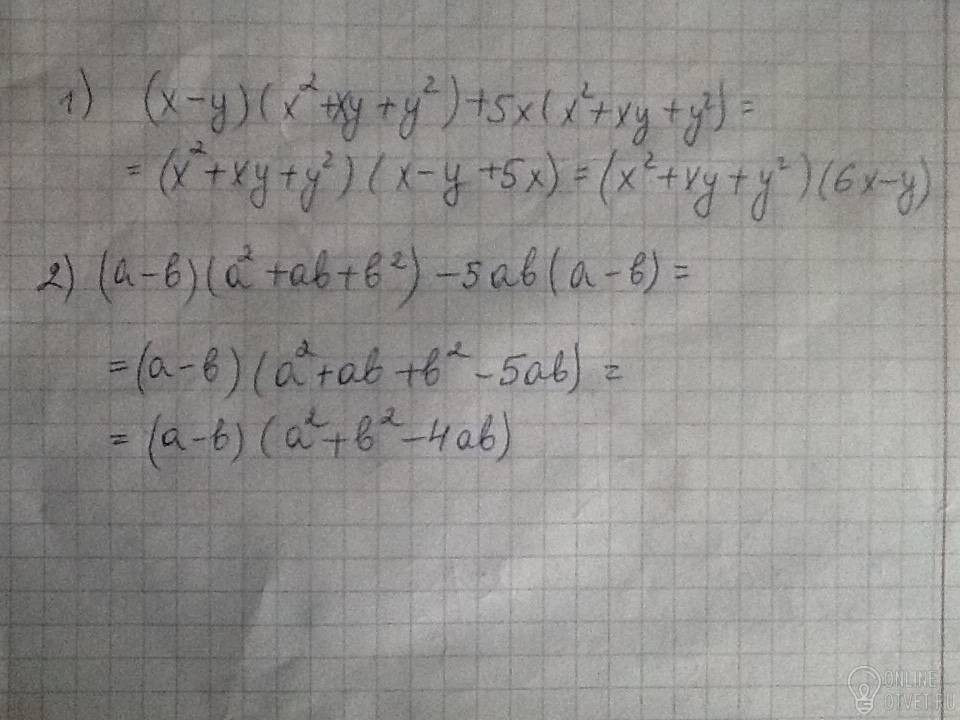
1)х³-у³+5х(х²+ху+у²)
2)a³-b³-5a²b+5ab²
ПОМОГИТЕ ПЖ!
Пожаловаться
- 17.03.2018 00:03
- Алгебра
- remove_red_eye 9895
- thumb_up 24
Ответы и объяснения 1
Знаете ответ? Поделитесь им!
Есть сомнения?
Не нашли подходящего ответа на вопрос или ответ отсутствует? Воспользуйтесь поиском по сайту, чтобы найти все ответы на похожие вопросы в разделе Алгебра.
Трудности с домашними заданиями? Не стесняйтесь попросить о помощи - смело задавайте вопросы!
Алгебра — раздел математики, который можно нестрого охарактеризовать как обобщение и расширение арифметики.
Новые вопросы
Интересные вопросы