Вопрос по алгебре:
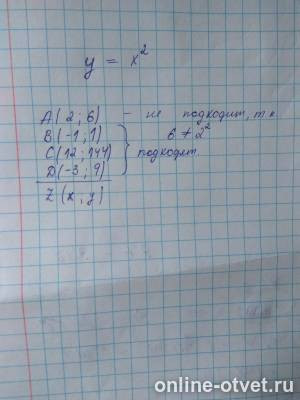
Не строя график функции y=x^2 определить какие точки принадлежат ему
A(2;6), B(-1;1), C(12;144), D(-3;-9)
- 20.04.2018 22:16
- Алгебра
- remove_red_eye 3507
- thumb_up 23
Ответы и объяснения 1
Знаете ответ? Поделитесь им!
Есть сомнения?
Не нашли подходящего ответа на вопрос или ответ отсутствует? Воспользуйтесь поиском по сайту, чтобы найти все ответы на похожие вопросы в разделе Алгебра.
Трудности с домашними заданиями? Не стесняйтесь попросить о помощи - смело задавайте вопросы!
Алгебра — раздел математики, который можно нестрого охарактеризовать как обобщение и расширение арифметики.