Вопрос по алгебре:
Помогите разобраться!
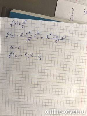
Найти значение производной функции f(x)=(е^x) ÷ x в точке х0 = 1.
- 09.09.2018 15:20
- Алгебра
- remove_red_eye 1231
- thumb_up 30
Ответы и объяснения 1
Знаете ответ? Поделитесь им!
Есть сомнения?
Не нашли подходящего ответа на вопрос или ответ отсутствует? Воспользуйтесь поиском по сайту, чтобы найти все ответы на похожие вопросы в разделе Алгебра.
Трудности с домашними заданиями? Не стесняйтесь попросить о помощи - смело задавайте вопросы!
Алгебра — раздел математики, который можно нестрого охарактеризовать как обобщение и расширение арифметики.