Вопрос по алгебре:
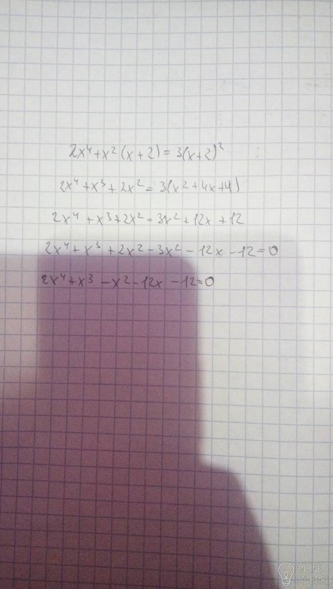
Помогите пожалуйста решить пример! 2x^4+x^2(x+2)=3(x+2)^2 Спасибо!
Пожаловаться
- 22.03.2018 18:25
- Алгебра
- remove_red_eye 4574
- thumb_up 27
Ответы и объяснения 1
Знаете ответ? Поделитесь им!
Есть сомнения?
Не нашли подходящего ответа на вопрос или ответ отсутствует? Воспользуйтесь поиском по сайту, чтобы найти все ответы на похожие вопросы в разделе Алгебра.
Трудности с домашними заданиями? Не стесняйтесь попросить о помощи - смело задавайте вопросы!
Алгебра — раздел математики, который можно нестрого охарактеризовать как обобщение и расширение арифметики.
Новые вопросы
Интересные вопросы