- 11.01.2018 10:14
- Алгебра
- remove_red_eye 11727
- thumb_up 8
Ответы и объяснения 1
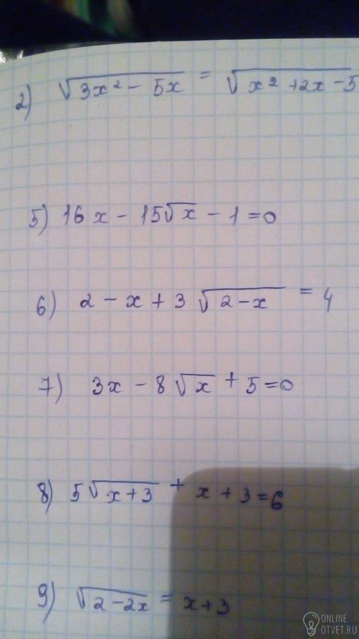
5)
16х-15√х-1=0
16х-1=15√х возведем в квадрат
(16х-1)^2=225х
256х^2-32х+1=225х
256х^2-257х+1=0
х=1
6)
2-х+3√2-х=4
3√2-х=4-2+х возведем в квадрат
9*(2-х) =(2+х) ^2
18-9х=4+4х+х^2
х^2+13х-14=0
D=169+56=225
х1,2=(-13+-15)/2
х1=-14. х2=1
остальные аналогично
- 12.01.2018 21:05
- thumb_up 6
Знаете ответ? Поделитесь им!
Есть сомнения?
Не нашли подходящего ответа на вопрос или ответ отсутствует? Воспользуйтесь поиском по сайту, чтобы найти все ответы на похожие вопросы в разделе Алгебра.
Трудности с домашними заданиями? Не стесняйтесь попросить о помощи - смело задавайте вопросы!
Алгебра — раздел математики, который можно нестрого охарактеризовать как обобщение и расширение арифметики.