- 13.06.2018 23:40
- Алгебра
- remove_red_eye 7833
- thumb_up 49
Ответы и объяснения 1
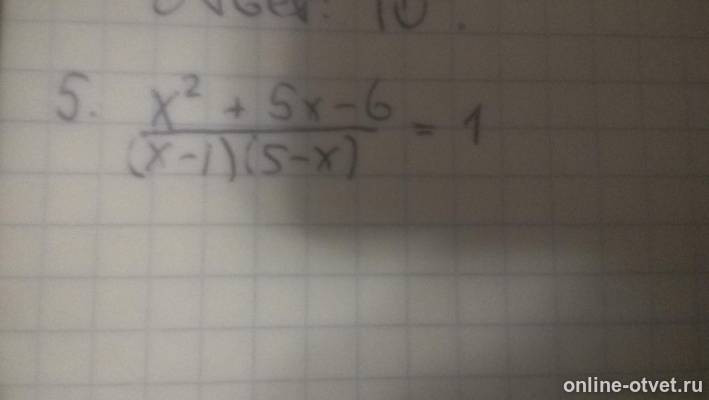
(x²+5x-6)/((x-1)(5-x))=1
x²+5x-6=0 D=49
x₁=1 x₂=-6
(x-1)(x+6)/((x-1)(5-x))=1
(x+6)/(5-x)=1
x+6=5-x
2x=-1
x=-1/2
Ответ: х=-1/2.
- 14.06.2018 18:04
- thumb_up 2
Знаете ответ? Поделитесь им!
Есть сомнения?
Не нашли подходящего ответа на вопрос или ответ отсутствует? Воспользуйтесь поиском по сайту, чтобы найти все ответы на похожие вопросы в разделе Алгебра.
Трудности с домашними заданиями? Не стесняйтесь попросить о помощи - смело задавайте вопросы!
Алгебра — раздел математики, который можно нестрого охарактеризовать как обобщение и расширение арифметики.