Вопрос по алгебре:
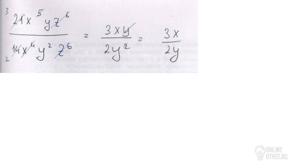
Надо сократить дробь- верхняя часть дроби такая: 21X( в пятой степени) УZ( в шестой степени). Нижняя часть дроби вот: 14X(в четвертой степени) У(во второй степени)Z(в шестой степени). кто может помогите. надо прямо сейчас. спасибо зо помощь.
- 08.04.2018 08:42
- Алгебра
- remove_red_eye 8701
- thumb_up 32
Ответы и объяснения 1
Знаете ответ? Поделитесь им!
Есть сомнения?
Не нашли подходящего ответа на вопрос или ответ отсутствует? Воспользуйтесь поиском по сайту, чтобы найти все ответы на похожие вопросы в разделе Алгебра.
Трудности с домашними заданиями? Не стесняйтесь попросить о помощи - смело задавайте вопросы!
Алгебра — раздел математики, который можно нестрого охарактеризовать как обобщение и расширение арифметики.