Вопрос по алгебре:
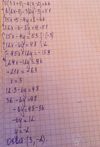
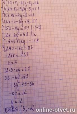
Решить смстему уравнений способом сложения 5(3x+1)-4(y-2)=66 6(2x-1)-3(2y-3)=51
Пожаловаться
- 09.04.2018 13:41
- Алгебра
- remove_red_eye 12098
- thumb_up 44
Ответы и объяснения 1
Знаете ответ? Поделитесь им!
Есть сомнения?
Не нашли подходящего ответа на вопрос или ответ отсутствует? Воспользуйтесь поиском по сайту, чтобы найти все ответы на похожие вопросы в разделе Алгебра.
Трудности с домашними заданиями? Не стесняйтесь попросить о помощи - смело задавайте вопросы!
Алгебра — раздел математики, который можно нестрого охарактеризовать как обобщение и расширение арифметики.
Новые вопросы
Интересные вопросы