Вопрос по алгебре:
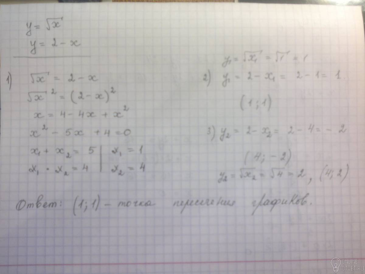
Найдите координаты точек пересечения графиков функций у=(корень)х и у = 2-х
Пожаловаться
- 16.08.2018 03:24
- Алгебра
- remove_red_eye 14206
- thumb_up 14
Ответы и объяснения 1
Знаете ответ? Поделитесь им!
Есть сомнения?
Не нашли подходящего ответа на вопрос или ответ отсутствует? Воспользуйтесь поиском по сайту, чтобы найти все ответы на похожие вопросы в разделе Алгебра.
Трудности с домашними заданиями? Не стесняйтесь попросить о помощи - смело задавайте вопросы!
Алгебра — раздел математики, который можно нестрого охарактеризовать как обобщение и расширение арифметики.
Новые вопросы
Интересные вопросы