Вопрос по алгебре:
Помогите решить пожалуйста срочно:
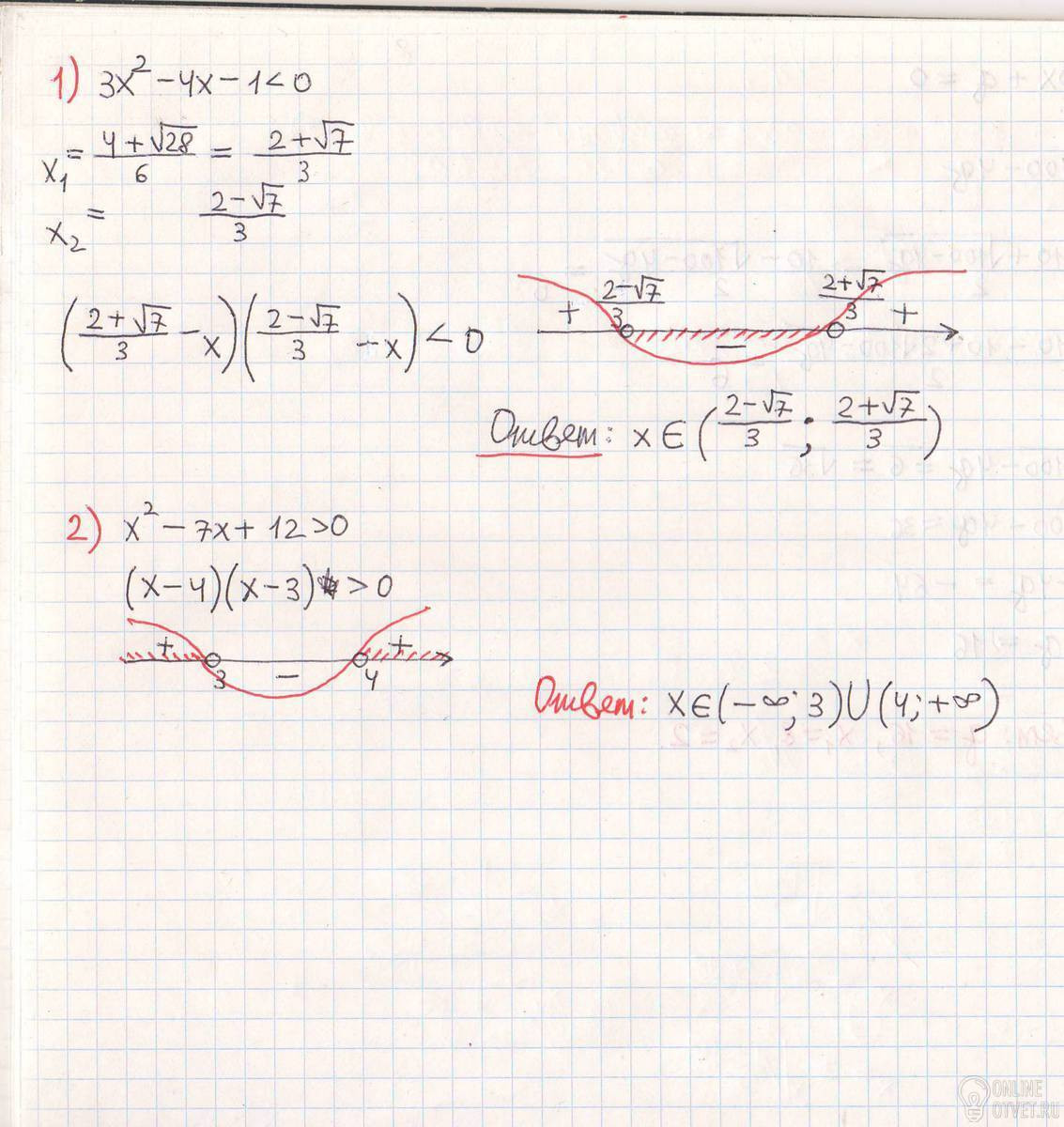
1.3х2(три х в квадрате)-4х-1<0
2. 1
-------------
х2-7х+12>0
- 18.05.2018 21:00
- Алгебра
- remove_red_eye 13969
- thumb_up 35
Ответы и объяснения 1
Знаете ответ? Поделитесь им!
Есть сомнения?
Не нашли подходящего ответа на вопрос или ответ отсутствует? Воспользуйтесь поиском по сайту, чтобы найти все ответы на похожие вопросы в разделе Алгебра.
Трудности с домашними заданиями? Не стесняйтесь попросить о помощи - смело задавайте вопросы!
Алгебра — раздел математики, который можно нестрого охарактеризовать как обобщение и расширение арифметики.