Вопрос по алгебре:
Объясните(!) как находить производную для:
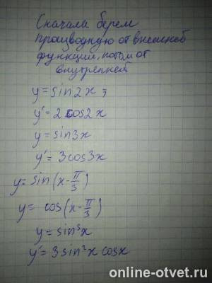
1) sin(2x)
2) sin(3x)
3) sin( x-(pi/3) )
4) sin³x
- 16.07.2018 14:55
- Алгебра
- remove_red_eye 9079
- thumb_up 11
Ответы и объяснения 1
Знаете ответ? Поделитесь им!
Есть сомнения?
Не нашли подходящего ответа на вопрос или ответ отсутствует? Воспользуйтесь поиском по сайту, чтобы найти все ответы на похожие вопросы в разделе Алгебра.
Трудности с домашними заданиями? Не стесняйтесь попросить о помощи - смело задавайте вопросы!
Алгебра — раздел математики, который можно нестрого охарактеризовать как обобщение и расширение арифметики.