Вопрос по алгебре:
Помогите пожалуйста решить уравнение :
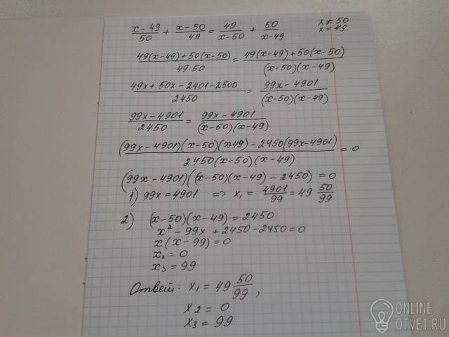
x-49/50 + x-50/49 = 49/x-50 + 50/x-49
Ответ :0; 49 50/99; 99
- 20.07.2018 15:11
- Алгебра
- remove_red_eye 2593
- thumb_up 42
Ответы и объяснения 1
Знаете ответ? Поделитесь им!
Есть сомнения?
Не нашли подходящего ответа на вопрос или ответ отсутствует? Воспользуйтесь поиском по сайту, чтобы найти все ответы на похожие вопросы в разделе Алгебра.
Трудности с домашними заданиями? Не стесняйтесь попросить о помощи - смело задавайте вопросы!
Алгебра — раздел математики, который можно нестрого охарактеризовать как обобщение и расширение арифметики.