- 01.03.2018 01:51
- Алгебра
- remove_red_eye 5727
- thumb_up 21
Ответы и объяснения 1
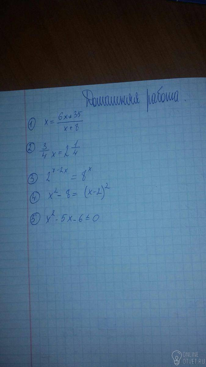
1) x=(6x+35)/(x+8)
x²+8x=6x+35
x²+2x-35=0 D=144
x₁=-7 x₂=5
2) 3x/4=2_1/4
3x/4=9/4
x=3
3) 2^(7-2x)=8^x
2^(7-2x)=2^(3x)
7-2x=3x
5x=7
x=1,2.
4) x²-8=(x-2)²
x²-8=x²-4x+4
4x=12
x=3
5) x²-5x+6≤0 D=1
x₁=3 x₂=2
(x-3)(x-2)≤0
-∞____+____2____-____3____+_____+∞
x∈[2;3].
- 02.03.2018 04:09
- thumb_up 46
Знаете ответ? Поделитесь им!
Есть сомнения?
Не нашли подходящего ответа на вопрос или ответ отсутствует? Воспользуйтесь поиском по сайту, чтобы найти все ответы на похожие вопросы в разделе Алгебра.
Трудности с домашними заданиями? Не стесняйтесь попросить о помощи - смело задавайте вопросы!
Алгебра — раздел математики, который можно нестрого охарактеризовать как обобщение и расширение арифметики.