Вопрос по алгебре:
Помогите решить примеры!Очень срочн
о!!!!!!!!!
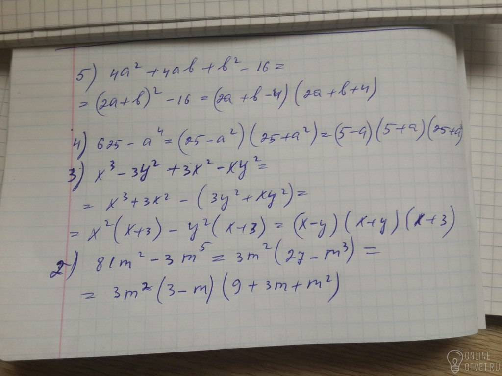
Разложить на множители 1)3x^3+36x^²+108x
2)81m^2-3m^5
3)x^3-3y^2+3x^2-xy^2
4)625-a⁴
5)4a²+4ab+b²-16
- 14.08.2018 18:26
- Алгебра
- remove_red_eye 6863
- thumb_up 29
Ответы и объяснения 1
Знаете ответ? Поделитесь им!
Есть сомнения?
Не нашли подходящего ответа на вопрос или ответ отсутствует? Воспользуйтесь поиском по сайту, чтобы найти все ответы на похожие вопросы в разделе Алгебра.
Трудности с домашними заданиями? Не стесняйтесь попросить о помощи - смело задавайте вопросы!
Алгебра — раздел математики, который можно нестрого охарактеризовать как обобщение и расширение арифметики.