Вопрос по алгебре:
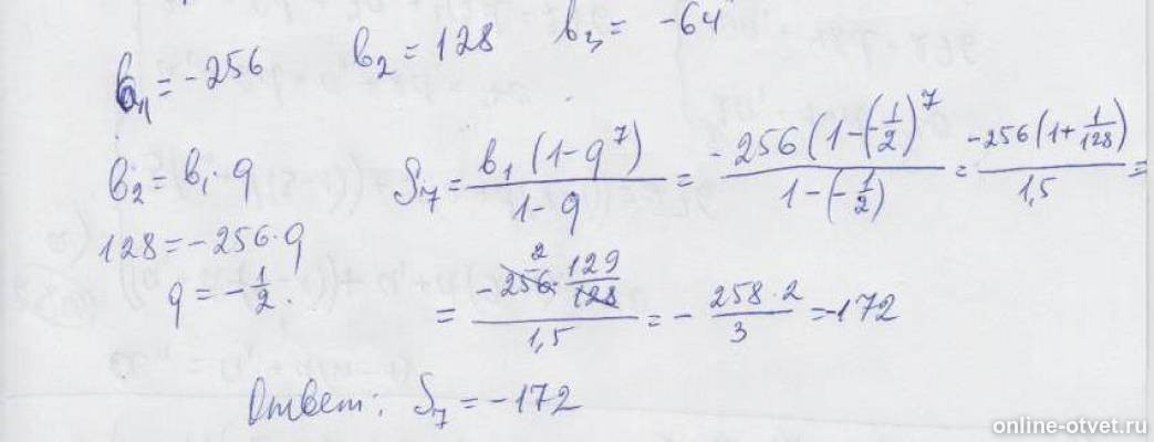
Выписаны первые несколько членов геометрической прогрессии: -256, 128, - 64 найдите сумму первых семи её членов
- 23.03.2018 07:34
- Алгебра
- remove_red_eye 7900
- thumb_up 15
Ответы и объяснения 1
Знаете ответ? Поделитесь им!
Есть сомнения?
Не нашли подходящего ответа на вопрос или ответ отсутствует? Воспользуйтесь поиском по сайту, чтобы найти все ответы на похожие вопросы в разделе Алгебра.
Трудности с домашними заданиями? Не стесняйтесь попросить о помощи - смело задавайте вопросы!
Алгебра — раздел математики, который можно нестрого охарактеризовать как обобщение и расширение арифметики.