Вопрос по алгебре:
Найдите область определения функции
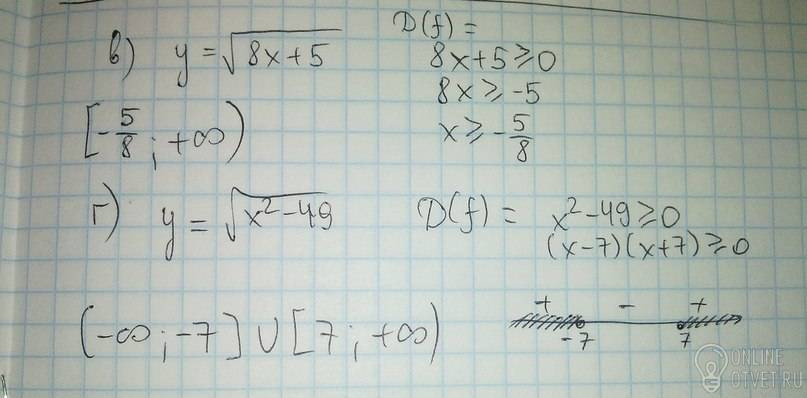
В)y=всё под квадратным корнем 8x+5
г)y=всё под квадратным корнем x^2-49
- 11.01.2018 21:47
- Алгебра
- remove_red_eye 11843
- thumb_up 41
Ответы и объяснения 1
Знаете ответ? Поделитесь им!
Есть сомнения?
Не нашли подходящего ответа на вопрос или ответ отсутствует? Воспользуйтесь поиском по сайту, чтобы найти все ответы на похожие вопросы в разделе Алгебра.
Трудности с домашними заданиями? Не стесняйтесь попросить о помощи - смело задавайте вопросы!
Алгебра — раздел математики, который можно нестрого охарактеризовать как обобщение и расширение арифметики.