Вопрос по алгебре:
Помогите, пожалуйста! Найдите значение выражения:
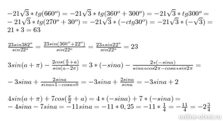
-21√3*tgt(660°)
23sin382°/sin22°
3sin(a+π)-2cos(π/2+a)/sin(a-2π)
4sin(a+π)+7cos(π/2+a), если sina=0,25
- 05.03.2018 09:49
- Алгебра
- remove_red_eye 12161
- thumb_up 24
Ответы и объяснения 1
Знаете ответ? Поделитесь им!
Есть сомнения?
Не нашли подходящего ответа на вопрос или ответ отсутствует? Воспользуйтесь поиском по сайту, чтобы найти все ответы на похожие вопросы в разделе Алгебра.
Трудности с домашними заданиями? Не стесняйтесь попросить о помощи - смело задавайте вопросы!
Алгебра — раздел математики, который можно нестрого охарактеризовать как обобщение и расширение арифметики.