Вопрос по алгебре:
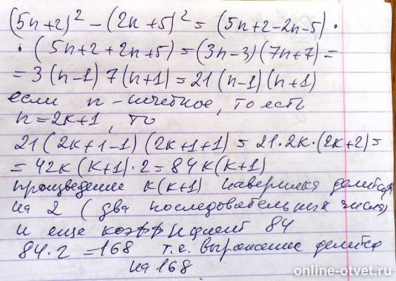
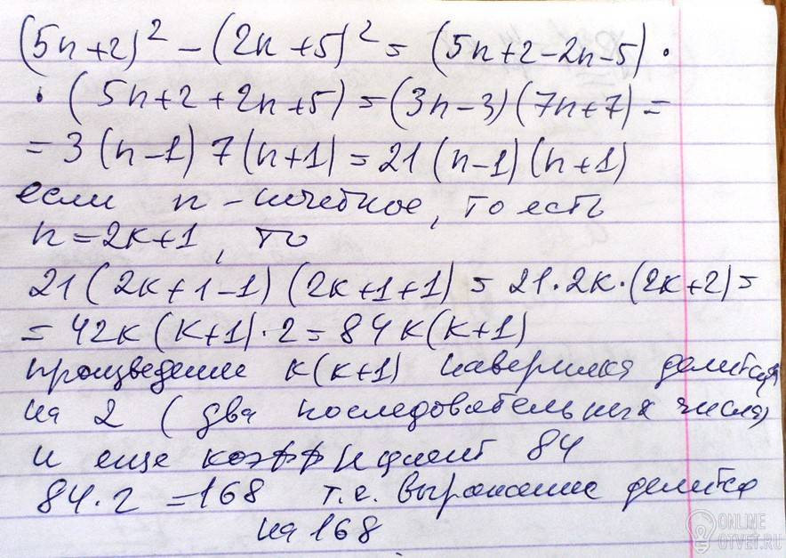
Докажите что значение выражения (5n+2)^2-(2n+5)^2 при нечетных значениях n делится на 168
- 26.03.2018 09:14
- Алгебра
- remove_red_eye 9106
- thumb_up 29
Ответы и объяснения 1
Знаете ответ? Поделитесь им!
Есть сомнения?
Не нашли подходящего ответа на вопрос или ответ отсутствует? Воспользуйтесь поиском по сайту, чтобы найти все ответы на похожие вопросы в разделе Алгебра.
Трудности с домашними заданиями? Не стесняйтесь попросить о помощи - смело задавайте вопросы!
Алгебра — раздел математики, который можно нестрого охарактеризовать как обобщение и расширение арифметики.